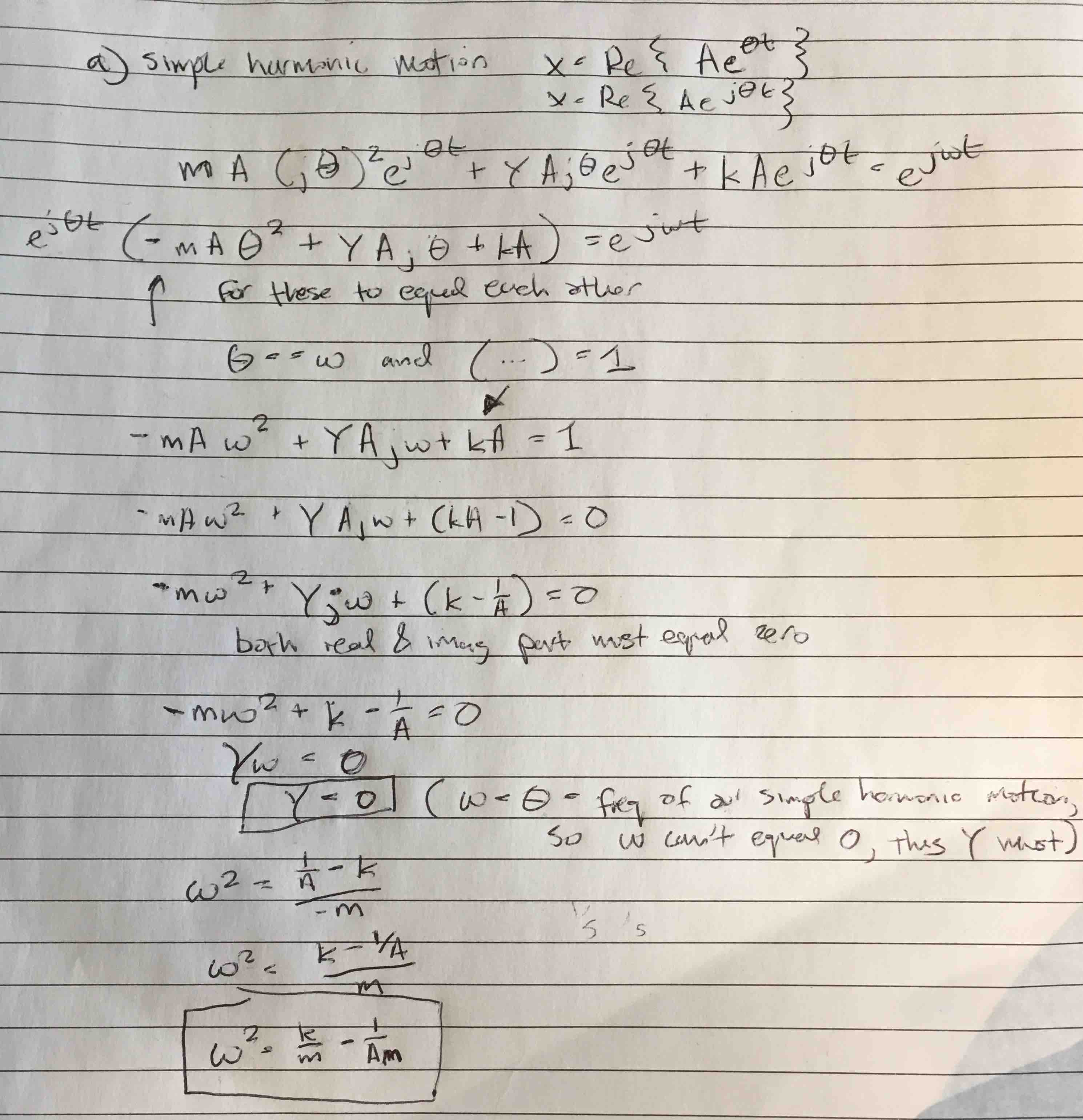
Attempts at ODE problems from the book: