Skip to main content
Link
Menu
Expand
(external link)
Document
Search
Copy
Copied
Quentin Bolsee MAS.862
About
Project
Transmission lines
Ring resonator
2.4 GHz antenna
Week 01
Week 02
Week 03
Week 04
Week 05
Week 06
Week 07
Week 08
Week 09
Week 10
Week 11
Week 12
Week 10: Magnetic Materials and Devices
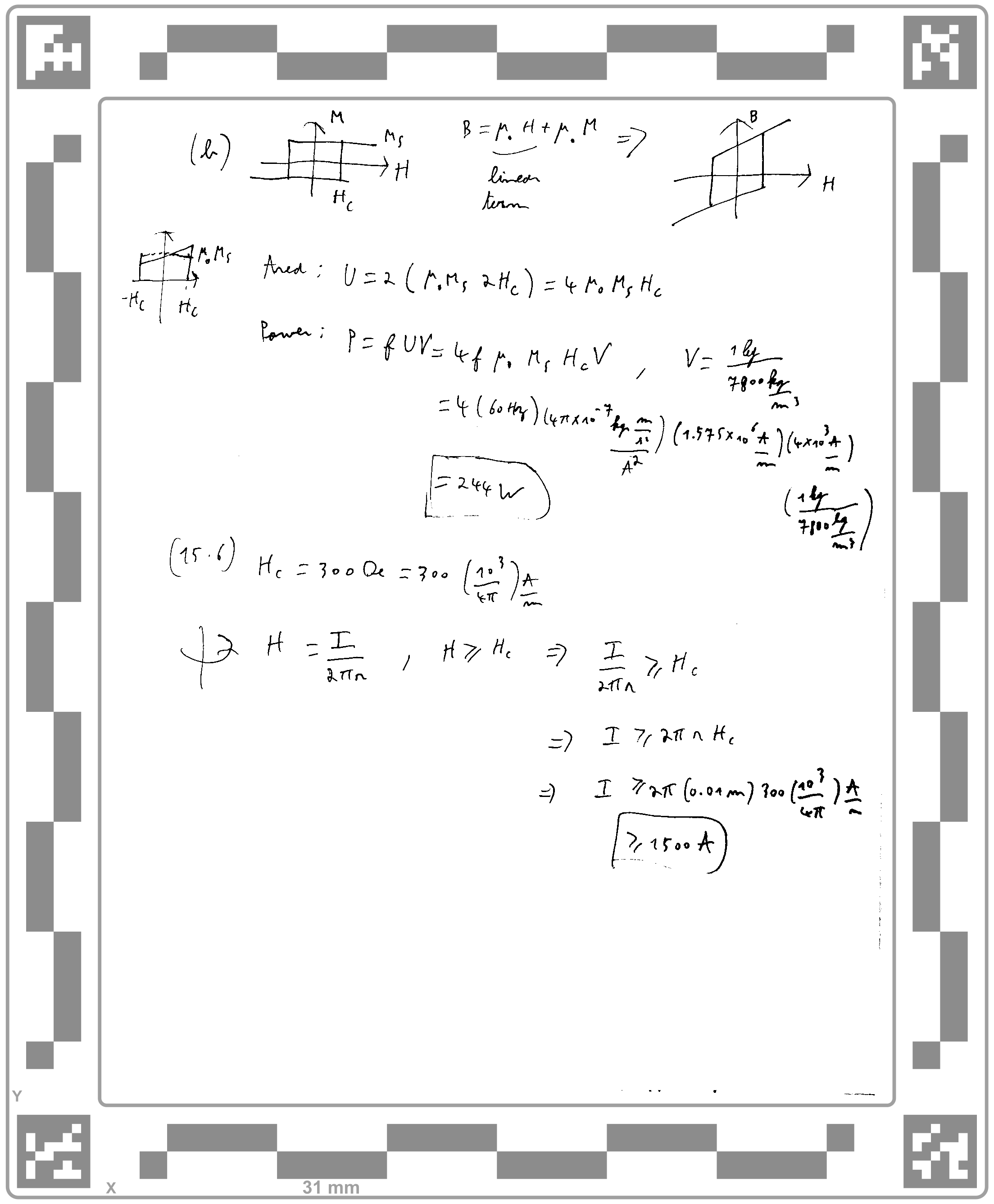
Here are my solutions: